CamperOnLine
  • Camper
    • Camper usati
    • Camper nuovi
    • Produttori
    • Listino
    • Cataloghi
    • Concessionari e rete vendita
    • Noleggio
    • Van
    • Caravan
    • Fiere
    • Rimessaggi
    • Le prove di CamperOnLine
    • Provati da voi
    • Primo acquisto
    • Area professionisti
  • Accessori
    • Accessori e Prodotti
    • Camping Sport Magenta accessori
    • Produttori
    • Antenne TV
    • Ammortizzatori
    • GPS
    • Pneumatici
    • Rimorchi
    • Provati da Voi
    • Fai da te
  • Viaggi
    • Diari di viaggi in camper
    • Eventi
    • Foto
    • Check list
    • Traghetti
    • Trasporti
  • Sosta
    • Cerca Strutture
    • Sosta
    • Aree sosta camper
    • Campeggi
    • Agriturismi con sosta camper
    • App Camperonline App
    • 10 Consigli utili per la sosta
    • Area strutture
  • Forum
    • Tutti i Forum
    • Sosta
    • Gruppi
    • Compagni
    • Italia
    • Estero
    • Marchi
    • Meccanica
    • Cellula
    • Accessori
    • Eventi
    • Leggi
    • Comportamenti
    • Disabili
    • In camper per
    • Altro Camper
    • Altro
    • Extra
    • FAQ
    • Regolamento
    • Attivi
    • Preferiti
    • Cerca
  • Community
    • COL
    • CamperOnFest
    • Convenzioni Convenzioni
    • Amici
    • Furti
    • Informativa Privacy
    • Lavoro
  • COL
    • News
    • Newsletter
    • Pubblicità
    • Contatto
    • Ora
    • RSS RSS
    • Video
    • Facebook
    • Instagram
  • Magazine
  • Italiano
    • Bienvenue
    • Welcome
    • Willkommen
  • Accedi
CamperOnLine
Camping Sport Magenta
  1. Forum
  2. Tecnica
  3. Accessori
Galleria

Lifepo4

Rispondi
Cerca
Berger Camping
SostaGruppiCompagniItaliaEsteroMarchiMeccanicaCellulaAccessoriEventiLeggiComportamentiDisabiliIn camper perAltro CamperAltroExtra Attivi
18 20 389
10
il tornitore
il tornitore
rating

25/08/2015 6078
Rispondi Abuso
Inserito il 03/12/2019 alle: 00:43:35
In risposta al messaggio di Steu851 del 02/12/2019 alle 17:30:26

Complimenti, veramente. Quando avevo scritto io che sarebbe meglio aumentare la tensione del camper a 48V (era il tread sul fornello ad induzione) me ne avevano detto di ogni ) Per il frigo come fai? Per la stufa? Hai pensato di mettere anche un alternatore a 24V e uno step-down per avere comunque i 12V dove sono indispensabili?
Qua sul forum, a parer mio, ci sono delle errate convinzioni molto radicate. Io sono uno di quelli che cerca uno sviluppo e osa.. Ovviamente facendo le cose a regola d'arte e supportate da un progetto di base basato su calcoli e dimensionamenti... Non a caso come succede la maggior parte delle volte nel Fai da Te.
La tecnologia va avanti per fortuna... Quindi alcune cose che erano impensabili tempo fa... Ora si possono fare, vedi con le LiFePO4.

A parte ciò, ho valutato anche i 48V... Ma la tensione è border line con la tensione limite di sicurezza o definita pericolosa (50V in condizioni normali, 25V in condizioni ambientali particolari). Vero che si avrebbe un quarto di corrente rispetto alla 12V, a parità di potenza, che circola e quindi anche cavi di sezione minore etc... Anche l'efficienza dell'inverter e MPPT è migliore o meglio massima.
Quindi ho preferito optare per una buona via di mezzo, cioè i 24V... dove ho comunque metà corrente che circola a pari potenza, l'efficienza dell'MPPT è più alta anche di 5 punti percentuali e l'inverter perde solo un punto percentuale di efficienza rispetto ai 48V. 
24V è ancora una tensione sicura anche in condizioni ambientali particolari. I 48V li trovo giustificati, senza dubbio, con un pacco batteria, per FV domestico, messo in un luogo protetto a norma... Ma su mezzi del genere non sono sicuri secondo il mio punto di vista.

Anche io pensavo all'induzione, ma poi ho rinunciato... Però ora che penso a 400Ah a 24V e non a 200Ah a 12V si potrebbe fare (per ridurre i consumi bisogna però usare potenze alte con l'induzione). Ovviamente metterò anche 2 pannelli da 400W con MPPT, più un altro da 50-80W per la sola BM (la quale ha l'assorbimento dell'antifurto e forse dell'accendisigari per ricaricare i telefoni).
Poi dato che non metterò più il forno a gas... Al suo posto, di certo, metterò un microonde ad inverter.
Pensavo di mettere un inverter da 300-400W di alta qualità per tv, decoder, portatile, frigo e poco altro; mentre uno da 3000W (va bene anche da 3000VA) per microonde, phon ed eventuale (ma non penso) piano ad induzione. 2 inverter perchè a bassi carichi (30-50W) quello da 3000W o VA hanno un'efficienza bassissima.
Per le utenze a 12V che saranno pochissime (penso WC e poco altro), metterò un convertitore DC-DC step down; mentre per caricare in viaggio la BS metterò un convertitore DC-DC step up. Mettere un alternatore da 24V lo trovo laborioso, mi risulta più semplice fare il contrario.. preferisco lasciare i 12V perchè in caso di guasto al convertitore DC-DC step down che alimenta la parte motore si guasta... sono completamente a piedi e non mi permette di tornare a casa; invece, la soluzione contraria mi permette di tornare a casa.. e in casi estremi posso separare 4 celle e avere comunque i 12V su due batterie; e in quel caso bisognerebbe avere un convertitore DC-DC step up... il top sarebbe averne uno che fa entrambi sia up che down. Mettere un alternatore aggiuntivo, anche questa soluzione, la trovo molto laboriosa.
Per la stufa metto il riscaldamento ad acqua, l'eberspecher M12... devo vedere se mettere i radiatori alde o mettere tipo dei riscaldatori con ventole (ventole che metterei io, quelle da pc)... Ne ho trovati da 1700W l'uno, quindi ne basterebbero anche 4-5 (ovviamente non andranno mai al max); questo mi permetterebbe di contenere il peso, e minori lavorazioni da fare ai mobili. Ovviamente boiler con scambiatore di calore e scambiatore di calore tra circuito cellula e motore. Poi recupero del calore dei gas di scarico della stufa
Per il frigo, di certo, metterò uno a compressore... Penso di mettere uno domestico da incasso, costi minori e consumi leggermente inferiori rispetto a quelli "per camper/imbarcazioni" a 12V comprese le perdite dovute dall'inverter.
Il Fai Da Te a Opera d'Arte - Marco
10
il tornitore
il tornitore
rating

25/08/2015 6078
Rispondi Abuso
Inserito il 03/12/2019 alle: 01:03:35
In risposta al messaggio di giracchione del 02/12/2019 alle 21:58:14

Grazie della consulenza, credo che se sei disponibile ne avrò ancora molto bisogno, ora ti spiego. 1) Scusa del ritardo ma oggi sono stato fuori per lavoro l'intera giornata, e tramite cellulare non mi piace molto scrivere
messaggi un po lunghi. Non ho ancora un camper ma sono in fase di ordine, perciò cerco di capire quello che è l'ottimale per le mie esigenze e per cercare di restare il più conforme con i pesi, ed  ordinare solo gli accessori indispensabili e che in un secondo momento sono quasi impossibili da montare ( quelli relativi alla Meccanica ed elettronica su base Fiat). La scelta della batteria Lifepo4 è dovuta sia al risparmio di peso sia per poter usufruire del climatizzatore in libera, e più precisamente, in un trasferimento, fermandosi per pranzare accendendo il clima per 1/ 2 ore si può sostare anche al sole,oppure rientrando da una visita in qualche località dove ho dovuto parcheggiare a pieno sole e aprendo per qualche minuto tutte le aperture per cambiare l'aria e successivamente accendendo il clima si stempera  la cellula in modo da non fare la sauna. Ho intenzione di montare un pannello fotovoltaico di una potenza dai 330 ai 400 W con un regolatore MPPT ( almeno in questo magnifico Forum mi sembra di aver appreso che sono i più performanti ) il quale nel periodo primaverile/estivo  potrebbe contribuire nelle ore di massima insolazione ad un buon 40/50% del consuma del clima e poi anche nelle altre ore ricaricare la batteria. Nel periodo invernale la LIfepo4 mi farebbe dormire sonni tranquilli anche con la Truma D che ho intenzione di ordinare Sicuramente avendo un ragazzo adolescente avrò la TV,decoder,pc portatile,vari smartphone, la macchina da caffè posso farne a meno. le mie perplessità sono la sezione dei cavi dall'alternatore alla BS e dal regolatore alla batteria e dalla batteria all'inverter., diciamo come farsi fare l'impianto in quanto circolano dei valori di corrente elevati. Scusatemi per la lungaggine e anche per un po di confusione se l'ho fatta. Grazie
...
La sezione dei cavi a quel punto è insufficiente... E per fare un bel lavoro bisognerebbe adottare alcuni accorgimenti.

Io rifarò da zero il cablaggio a partire dall'alternatore e aumenterò i punti di massa; metterò la pasta di rame tra le connessioni così da ridurre la resistenza di contatto e intanto i contatti non si ossidano. Non userò il relè onboard della centralina (che poi la centralina la cambio o la faccio) etc.. Con questi accorgimenti la caduta di tensione è bassa, poi una cosa importante... l'avviamento del motore migliorerà molto poichè i cavi di sezione maggiore e i punti di messa a massa sono di più contribuiscono a ridurre la caduta di tensione; questo sarà molto utile in inverno.

Se uno fa da sè queste modifiche deve avere buone/ottime capacità manuali e sa che cosa fa e su cosa sta lavorando... Però perde la garanzia. 

Giusto per informazione... Indicativamente si accetta una caduta di tensione inferiore o uguale al 2% ai capi di un cavo.

 
Il Fai Da Te a Opera d'Arte - Marco
17
epsoncolor
epsoncolor
14/12/2008 1417
Rispondi Abuso
Inserito il 05/12/2019 alle: 16:42:26
Ho visto un video della Victron dove le batterie LIFEPO4 sono collegate all'alternatore il quale si surriscalda e fuma. Non capisco se cio' e' dovuto all'alternatore poco performante  o ad altro. Quindi mi pongo la domanda ma  installando le LIFEPO4 devo mattere un dispositivo tra alternatore e batterie?
RobertoBcn
RobertoBcn
-
Rispondi Abuso
Inserito il 05/12/2019 alle: 22:26:16
In risposta al messaggio di epsoncolor del 05/12/2019 alle 16:42:26

Ho visto un video della Victron dove le batterie LIFEPO4 sono collegate all'alternatore il quale si surriscalda e fuma. Non capisco se cio' e' dovuto all'alternatore poco performante  o ad altro. Quindi mi pongo la domanda ma  installando le LIFEPO4 devo mattere un dispositivo tra alternatore e batterie?
Aaaazzzz!!cool

metti link!
Life is too short to drink bad wine!!
Natale 2025 in centro Italia
Natale 2025 in centro Italia
Asturia, Cantabria e Paesi Baschi in cam
Asturia, Cantabria e Paesi Baschi in cam
Sala Silvergruva, la miniera d'argento
Sala Silvergruva, la miniera d'argento
Folgaria d’inverno in camper
Folgaria d’inverno in camper
Francia 2025
Francia 2025
Previous Next
17
epsoncolor
epsoncolor
14/12/2008 1417
Rispondi Abuso
Inserito il 05/12/2019 alle: 23:04:17
In risposta al messaggio di RobertoBcn del 05/12/2019 alle 22:26:16

Aaaazzzz!! metti link!
Il sito e' Victron Energy.it  e poi scorrendo sulla sinistra si trova :Alternatore: Test distruzione, Caricamento sicuro Batterie Litio
10
il tornitore
il tornitore
rating

25/08/2015 6078
Rispondi Abuso
Inserito il 06/12/2019 alle: 00:12:20
Questo è il video: 

https://www.youtube.com/watch?v...


Riguardo a questo video bisogna dire alcune cose... Per quanto riguarda l'alternatore si sa che è un Citroen ed è un 70A a 14V.
Un alternatore classico (su mezzi tipo Ducato) difficilmente fa 1500 giri, in più hanno fatto il test ad aria ferma... Quando si è in movimento con il mezzo, oltre alla ventola presente nell'alternatore (i migliori hanno ventola doppia) c'è l'aria in movimento, poi se ci sono le elettroventole accese ancora di più.
Per fare un esempio diretto... Il mio ducato 2.3 130cv del 2012 monta un alternatore da 150A, la puleggia dell'alternatore ha un diametro di 55mm mentre quella dal lato albero motore ha un diametro di 144mm. Da ciò si evince che il fattore di moltiplicazione è pari a 2,6 volte circa... Quindi la puleggia dell'alternatore, quando il motore è al minimo (circa 800 giri), fa circa 2100 giri. Quando vado a velocità di crociera su strada normale (80km/h) sono a 2000 giri, quindi l'alternatore fa circa 5200 giri... Ne consegue che la sua ventola interna raffredda molto di più e poi l'alternatore offre una maggior corrente.
Nel video, se ci fate caso, non c'è nessun rapporto di moltiplicazione... il rapporto è pari a 1:1; poi ovviamente ci sono alternatori e alternatori di diverse qualità.
Poi da quello che ne so, solitamente, gli alternatori sviluppano la loro potenza massima a 6000 giri (alcuni anche a 7000 giri), giri riferiti all'albero dell'alternatore e non albero motore.
Altra cosa, solitamente, il dato di targa di corrente erogata viene presa a 13,5V... Poi al variare della temperatura varia la corrente erogata; ovviamente all'aumentare della temperatura cala la corrente erogata.
Qua: 

http://www.balmar.net/wp-conten...

 la scheda tecnica di un alternatore di una certa qualità.

Per me è un test poco rilevante, l'alternatore non viene raffreddato come quando è montato sul mezzo, è un alternatore da 70A e di dubbia qualità (e penso neanche progettato per un utilizzo su furgone o autocaravan dove è un utilizzo più gravoso.. un alternatore del genere viene montato su un'auto), viene fatto girare piano.. quindi la sua stessa ventola non lo può raffreddare a dovere.

Secondo me se vedreste quanti ampere deve erogare l'alternatore sul camper esempio in estate con tutto acceso (condizionatore, elettroventole queste sono 50A in totale, utenze motore specie sistema di iniezione, frigo a 12V altri 15A, luci almeno 10A, ventola abitacolo solo questa al massimo sono 20A, radio, etc).. Ci rimarreste un po' di sasso... E dire che le temperature sono alte, quindi un fattore aggravante; fino ad ora non ho sentito di alternatore che vanno a fuoco o che ci sia un principio di esso.

A parte ciò.. Sicuramente mettere un booster aiuta sotto diversi aspetti, ovviamente scegliendo una potenza adeguata.
Anche i cavi di sezione adeguata aiutano... Riducendo la caduta di tensione; idem fare bene le connessioni per ridurre le resistenze di contatto.

PS: ho solo corretto degli errori di battitura.
Il Fai Da Te a Opera d'Arte - Marco

Modificato da il tornitore il 06/12/2019 alle 22:20:55
10
il tornitore
il tornitore
rating

25/08/2015 6078
Rispondi Abuso
Inserito il 06/12/2019 alle: 00:15:30
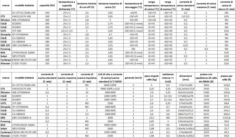
Metto l'aggiornamento della tabella dei preventivi delle LiFePO4 (sempre sperando che si legga)
fdg.jpg
 
Il Fai Da Te a Opera d'Arte - Marco
9
Sergione66
Sergione66
13/01/2017 4197
Rispondi Abuso
Inserito il 06/12/2019 alle: 09:14:38
Grazie dell'aggiornamento.
Le celle GBS a 1155 Euro ??
Immagino si tratti della batteria da 200Ah già completa, anche perchè vedo peso e dimensioni tipiche di una batteria.
Comunque, ottimo lavoro.
 
Sergio - Genova - Carthago Liner 65LE (Jeegolino)
17
epsoncolor
epsoncolor
14/12/2008 1417
Rispondi Abuso
Inserito il 06/12/2019 alle: 10:14:18
In risposta al messaggio di il tornitore del 06/12/2019 alle 00:12:20

Questo è il video:  Riguardo a questo video bisogna dire alcune cose... Per quanto riguarda l'alternatore si sa che è un Citroen ed è un 70A a 14V. Un alternatore classico (su mezzi tipo Ducato) difficilmente fa 1500
giri, in più hanno fatto il test ad aria ferma... Quando si è in movimento con il mezzo, oltre alla ventola presente nell'alternatore (i migliori hanno ventola doppia) c'è l'aria in movimento, poi se ci sono le elettroventole accese ancora di più. Per fare un esempio diretto... Il mio ducato 2.3 130cv del 2012 monta un alternatore da 150A, la puleggia dell'alternatore ha un diametro di 55mm mentre quella dal lato albero motore ha un diametro di 144mm. Da ciò si evince che il fattore di moltiplicazione è pari a 2,6 volte circa... Quindi la puleggia dell'alternatore, quando il motore è al minimo (circa 800 giri), fa circa 2100 giri. Quando vado a velocità di crociera su strada normale (80km/h) sono a 2000 giri, quindi l'alternatore fa circa 5200 giri... Ne consegue che la sua ventola interna raffredda molto di più e poi l'alternatore offre una maggior corrente. Nel video, se ci fate caso, non c'è nessun rapporto di moltiplicazione... il rapporto è pari a 1:1; poi ovviamente ci sono alternatori e alternatori di diverse qualità. Poi da quello che ne so, solitamente, gli alternatori sviluppano la loro potenza massima a 6000 giri (alcuni anche a 7000 giri), giri riferiti all'albero dell'alternatore e non albero motore. Altra cosa, solitamente, il dato di targa di corrente erogata viene presa a 13,5V... Poi al variare della temperatura varia la corrente erogata; ovviamente all'aumentare della temperatura cala la corrente erogata. Qua:  la scheda tecnica di un alternatore di una certa qualità. Per me è un test poco rilevante, l'alternatore non viene raffreddato come quando è montato sul mezzo, è un alternatore da 70A e di dubbia qualità (e penso neanche progettato per un utilizzo su furgone o autocaravan dove è un utilizzo più gravoso.. un alternatore del genere viene montato su un'auto), viene fatto girare piano.. quindi la sua stessa ventola non lo può raffreddare a dovere. Secondo me se vedreste quanti ampere deve erogare l'alternatore sul camper esempio in estate con tutto acceso (condizionatore, elettroventole queste sono 50A in totale, utenze motore specie sistema di iniezione, frigo a 12V altri 15A, luci almeno 10A, ventola abitacolo solo questa al massimo sono 20A, radio, etc).. Ci rimarreste un po' di sasso... E dire che le temperature sono alte, quindi un fattore aggravante; fino ad ora non ho sentito di alternatore che vanno a fuoco o che ci sia un principio di esso. A parte ciò.. Sicuramente mettere un booster aiuta sotto diversi aspetti, ovviamente scegliendo una potenza adeguata. Anche i cavi di sezione adeguata aiutano... Riducendo la caduta di tensione; idem fare bene le connessioni per ridurre le resistenze di contatto. PS: ho solo corretto degli errori di battitura.
...
Non essendo ,come ho gia' avuto occasione di dirlo, non sono un tecnico e vedendo questo video mi sono un po' allarmato.
Grazie per i tuoi chiarimenti  sempre molto esaustivi.
Riguardo le batterie grazie per l'aggiornamento.
In previsione dell'investimento, che non e' indifferente, comincio col sostituire quei dispositivi che non sono compatibili con le Litio.
Ieri ho chiesto il prezzo del regolatore MPPT Smart 75/15 della Victron a diversi negozi web e il  Negozio Equo mi ha suggerito di prevedere linstallazione dii questo : Sterling Power BB1230 Battery to Battery charger 30 Ampere, se capisco mi sembra un boster o no?
10
il tornitore
il tornitore
rating

25/08/2015 6078
Rispondi Abuso
Inserito il 06/12/2019 alle: 23:03:34
In risposta al messaggio di Sergione66 del 06/12/2019 alle 09:14:38

Grazie dell'aggiornamento. Le celle GBS a 1155 Euro ?? Immagino si tratti della batteria da 200Ah già completa, anche perchè vedo peso e dimensioni tipiche di una batteria. Comunque, ottimo lavoro.  
Per la batteria GBS (non dico cella perchè è un pacco batteria vero e proprio con 4 celle in serie) il prezzo (1155€) si riferisce al prezzo della batteria (4 celle)... compreso di connessioni, non ricordo se c'è anche un BMS.
Per la precisione la batteria GBS è una LiFeMnPO4.
Il Fai Da Te a Opera d'Arte - Marco
10
il tornitore
il tornitore
rating

25/08/2015 6078
Rispondi Abuso
Inserito il 06/12/2019 alle: 23:09:23
In risposta al messaggio di epsoncolor del 06/12/2019 alle 10:14:18

Non essendo ,come ho gia' avuto occasione di dirlo, non sono un tecnico e vedendo questo video mi sono un po' allarmato. Grazie per i tuoi chiarimenti  sempre molto esaustivi. Riguardo le batterie grazie per l'aggiornamento.
In previsione dell'investimento, che non e' indifferente, comincio col sostituire quei dispositivi che non sono compatibili con le Litio. Ieri ho chiesto il prezzo del regolatore MPPT Smart 75/15 della Victron a diversi negozi web e il  Negozio Equo mi ha suggerito di prevedere linstallazione dii questo : Sterling Power BB1230 Battery to Battery charger 30 Ampere, se capisco mi sembra un boster o no?
...
Si da quello che ho capito è un booster. 
Una cosa, spero che la fase float si possa eludere; le fasi di carica per le LiFePO4 sono solo 2: CC (corrente costante) e CV (tensione costante). Il ciclo di carica si deve interrompere quando la corrente scende sotto ai 0.02C (valore medio, perchè alcune celle hanno un valore di 0.05C e altre 0.01C).
Il Fai Da Te a Opera d'Arte - Marco
17
epsoncolor
epsoncolor
14/12/2008 1417
Rispondi Abuso
Inserito il 07/12/2019 alle: 12:06:06
In risposta al messaggio di il tornitore del 06/12/2019 alle 23:09:23

Si da quello che ho capito è un booster.  Una cosa, spero che la fase float si possa eludere; le fasi di carica per le LiFePO4 sono solo 2: CC (corrente costante) e CV (tensione costante). Il ciclo di carica si deve interrompere quando la corrente scende sotto ai 0.02C (valore medio, perchè alcune celle hanno un valore di 0.05C e altre 0.01C).
Ok , allora mi sa che il tizio ha come obiettivo solo la vendita.
19
IZ4DJI
IZ4DJI
rating

12/11/2006 58375
Rispondi Abuso
Inserito il 07/12/2019 alle: 16:12:44
In risposta al messaggio di il tornitore del 06/12/2019 alle 23:09:23

Si da quello che ho capito è un booster.  Una cosa, spero che la fase float si possa eludere; le fasi di carica per le LiFePO4 sono solo 2: CC (corrente costante) e CV (tensione costante). Il ciclo di carica si deve interrompere quando la corrente scende sotto ai 0.02C (valore medio, perchè alcune celle hanno un valore di 0.05C e altre 0.01C).
Mi sembra di capire che quel Booster da 30A è molto simile al mio Votronic 1212-30.

Nel mio se settato per batteria al Litio da questa curva di carica:




secondo te è un tipo di carica corretto?

Lo chiedo perchè se un domani dovessi mettere una batteria Lifepo4 sarei gia a posto semplicemente spostando lo switch da AGM a Litio.
 
____________________________________

Tommaso IZ4DJI

www.iz4dji.it




10
il tornitore
il tornitore
rating

25/08/2015 6078
Rispondi Abuso
Inserito il 07/12/2019 alle: 18:47:24
In risposta al messaggio di IZ4DJI del 07/12/2019 alle 16:12:44

Mi sembra di capire che quel Booster da 30A è molto simile al mio Votronic 1212-30. Nel mio se settato per batteria al Litio da questa curva di carica: secondo te è un tipo di carica corretto? Lo chiedo perchè se un domani dovessi mettere una batteria Lifepo4 sarei gia a posto semplicemente spostando lo switch da AGM a Litio.  
A parer mio è poco chiaro, in più il grafico correla la temperatura con la tensione. Sarebbe utile avere anche quello che correla corrente/tempo e un altro tensione/tempo, oppure un solo grafico che abbia 2 assi Y uno con tensione e l'altro con corrente mentre sulle X il tempo.

Sembra che faccia un sorta di mantenimento (U2=13.8V) anche se per un periodo di tempo definito e limitato. La tensione di carica dovrebbe essere 14,6V (14,4V è una tensione "conservativa").
Guardando le specifiche che mi sono state mandate nessuna può essere caricata sotto i 0°C.
Il Fai Da Te a Opera d'Arte - Marco
19
IZ4DJI
IZ4DJI
rating

12/11/2006 58375
Rispondi Abuso
Inserito il 07/12/2019 alle: 20:02:00
In risposta al messaggio di il tornitore del 07/12/2019 alle 18:47:24

A parer mio è poco chiaro, in più il grafico correla la temperatura con la tensione. Sarebbe utile avere anche quello che correla corrente/tempo e un altro tensione/tempo, oppure un solo grafico che abbia 2 assi Y uno con
tensione e l'altro con corrente mentre sulle X il tempo. Sembra che faccia un sorta di mantenimento (U2=13.8V) anche se per un periodo di tempo definito e limitato. La tensione di carica dovrebbe essere 14,6V (14,4V è una tensione conservativa). Guardando le specifiche che mi sono state mandate nessuna può essere caricata sotto i 0°C.
...
In effetti anche a me sembra che quei grafici siano semplificati.

A pagina 14 del MANUALE c'è anche un grafico che considera la variazione di corrente, ma non mi è chiaro per che tipo di batteria sia.
____________________________________

Tommaso IZ4DJI

www.iz4dji.it




10
il tornitore
il tornitore
rating

25/08/2015 6078
Rispondi Abuso
Inserito il 10/12/2019 alle: 23:49:40
In risposta al messaggio di IZ4DJI del 07/12/2019 alle 20:02:00

In effetti anche a me sembra che quei grafici siano semplificati. A pagina 14 del MANUALE c'è anche un grafico che considera la variazione di corrente, ma non mi è chiaro per che tipo di batteria sia.
Parla sia delle "lead" che delle "lifepo4".. Però con la fase di mantenimento U2 va bene per le acido, ma non per le lifepo4.
Il Fai Da Te a Opera d'Arte - Marco
19
IZ4DJI
IZ4DJI
rating

12/11/2006 58375
Rispondi Abuso
Inserito il 10/12/2019 alle: 23:55:44
In risposta al messaggio di il tornitore del 10/12/2019 alle 23:49:40

Parla sia delle lead che delle lifepo4.. Però con la fase di mantenimento U2 va bene per le acido, ma non per le lifepo4.
allora perchè mettono il settaggio specifico per Lifepo4 ?
____________________________________

Tommaso IZ4DJI

www.iz4dji.it




10
il tornitore
il tornitore
rating

25/08/2015 6078
Rispondi Abuso
Inserito il 11/12/2019 alle: 00:29:42
In risposta al messaggio di IZ4DJI del 10/12/2019 alle 23:55:44

allora perchè mettono il settaggio specifico per Lifepo4 ?
Questa è una domanda da rivolgere all'azienda stessa... Chiedere lumi in merito al ciclo di carica delle lifepo4 e chiedere perchè c'è una fase di mantenimento quando non è richiesta da queste batterie ed è deleteria.
Gli stessi costruttori che ho contattato, nelle schede tecniche riportano solo 2 fasi di carica.
Bisognerebbe chiedere su che informazioni si basano queste aziende per delineare i cicli di carica.
Il Fai Da Te a Opera d'Arte - Marco
19
IZ4DJI
IZ4DJI
rating

12/11/2006 58375
Rispondi Abuso
Inserito il 11/12/2019 alle: 08:25:55
In risposta al messaggio di il tornitore del 11/12/2019 alle 00:29:42

Questa è una domanda da rivolgere all'azienda stessa... Chiedere lumi in merito al ciclo di carica delle lifepo4 e chiedere perchè c'è una fase di mantenimento quando non è richiesta da queste batterie ed è deleteria.
Gli stessi costruttori che ho contattato, nelle schede tecniche riportano solo 2 fasi di carica. Bisognerebbe chiedere su che informazioni si basano queste aziende per delineare i cicli di carica.
...
Vero...
Quindi se uno ha solo l alternatore, stessa cosa, dopo un certo tempo bisogna disconnettere la batteria?
____________________________________

Tommaso IZ4DJI

www.iz4dji.it




10
il tornitore
il tornitore
rating

25/08/2015 6078
Rispondi Abuso
Inserito il 11/12/2019 alle: 12:26:23
In risposta al messaggio di IZ4DJI del 11/12/2019 alle 08:25:55

Vero... Quindi se uno ha solo l alternatore, stessa cosa, dopo un certo tempo bisogna disconnettere la batteria?
Si, non tanto dopo un certo tempo... ma quando la corrente di carica scende sotto ai 0.02C (valore medio, poi ogni cella ha un suo valore ottimale) significa che la batteria è carica o almeno può considerarsi tale; quindi la batteria va staccata.
Il Fai Da Te a Opera d'Arte - Marco
SostaGruppiCompagniItaliaEsteroMarchiMeccanicaCellulaAccessoriEventiLeggiComportamentiDisabiliIn camper perAltro CamperAltroExtra Attivi
Argomenti recenti dal forum
Accessori
Regolatore mppt 75/15 victron
Salve a tutti ,recentemente ho sostituito i vecchi caricabatterie e regolatore di carica c...
andreapodda
Ieri alle: 18:11
Meccanica
ford transit 140 cv
Salve sul mio ford transit del 2010 non si attiva più il cruise control, sapete dirmi da c...
SergioFlash
Ieri alle: 18:04
Altro non sui camper
NEXI o NUMIA
Come qualcuno saprà NEXI manderà la propria CartaCredito collegata al nostro conto corrent...
masivo
Ieri alle: 11:39
Meccanica
Nuove meccaniche
Qualcosa si muove sulle meccaniche, anche perché la normativa Euro 7 incombe, e sia transi...
Peter73
Ieri alle: 08:24
Meccanica
Freni Fiat Ducato 2.3
Un saluto a tutti.. Il mio Ducato 2.3 ecojet del 2027 con 200.000 km ha iniziato a fare ru...
Sciutoste
26/03/26 - 22:28
Accessori
agm + litio
eccomi con un quesito diciamo ... facile . possiedo una batteria servizi agm della varta d...
marinox
26/03/26 - 18:57
Meccanica
Ammortizzatori ducato
Quale consigliate tra: ORAP OMA ORIGINI FIAT Non vorrei avere un F1 come tenuta, ma un buo...
agi73
26/03/26 - 14:15
Altro sui camper
Tessera Viacard
Salve ragazzi, volevo chiedere a chi fa poco uso di autostrade, che sistema usa per il pag...
michele16
25/03/26 - 22:45
Cellula abitativa
Sportello gas infiltrato compromette altro?
Buongiorno. Ho lo sportello gas infiltrato nella parte bassa Lo farò ricostruire. Ma chie...
Omar1983
25/03/26 - 22:35
Accessori
Dubbio su collegamento Pannelli su impianto camper
Buonasera a tutti. Ho un Camper Sharky N12 del 2007, al momento non ho il pannello solare ...
pbarca80
25/03/26 - 22:06
Accessori
Dopo due anni di lifepo4
Dopo due anni ho deciso di controllare lo stato delle celle della batteria lifepo4 da 200 ...
rubylove
25/03/26 - 21:54
Cellula abitativa
Linea luci/12V che parte in ritardo e salta
Ciao a tutti, ho da poco acquistato il mio primo camper, un Mobilvetta Kea del 2013. Sono ...
Eggman
25/03/26 - 21:20
167k Facebook
343k Instagram
42,6k TikTok
73,3k Youtube
CamperOnLine - Copyright © 1998-2026 - P.Iva 06953990014
Informativa privacy
Loading...

Accedi

Recupera Password
Nuovo utente

Vuoi eliminare il messaggio?

Sottoscrizione

Anteprima

PREFERENZA

Il messaggio è in fase di inserimento.

loading

CamperOnLine

Buongiorno gentile utente,

da oltre 20 anni Camperonline offre gratuitamente tutti i suoi servizi
grazie agli inserzionisti che ci hanno dato la loro fiducia, permettici di continuare il nostro lavoro disattivando il blocco delle pubblicità.

Grazie della collaborazione.

Azione eseguita con successo

Azione Fallita

Condividi

Condividi questa pagina con:

O copia il link